5. 고지혈증 마그네슘 각론

5. 고지혈증

실험동물에게 마그네슘이 부족한 음식을 주면 다음과 같은 현상을 관찰할 수 있다.1. 즉시 TG(중성지방)와 콜레스테롤 수치가 증가하고(HDL은 감소함), 2. Macrophage가 Activation되고, 3. LDL 콜레스테롤이 산화하며, 4. IL-1과 같은 염증성 Cytokine이 많이 만들어지고, 5. 결국 Atherosclerotic plaque가 만들어진다.

고지혈증 진단을 받으면 Statin을 처방받는다. Atherosclerosis를 예방하기 위해서이다. 이 동물실험에서는 마그네슘이 부족하면 금세 시럼 지질상태가 나빠진다는 것만을 거론하며 넘어가자.

역학조사 결과를 보자.

Serum Ionized Magnesium Levels in Relation to Metabolic Syndrome in Type 2 Diabetic Patients. Journal of the American이 낮은 혈증에는 혈액의 종류인 위-마그네슘과 연결된 혈액 조사 대상인 Machiprina nal of the American Colute

마그네슘은 Lipoprotein Lipase 활성을 높인다. Lipoprotein Lipase는 혈관 벽에 붙어있다. VLDL에 있는 TG를 끄고 Fatty acid를 유리하게 한다. 유리된 Fatty Acid를 받아들여 조직에서는 에너지원으로 사용한다. 마그네슘이 부족하면 시럼 TG 수치가 올라가게 된다. – Lecithin – Cholesterol Acyltransferase

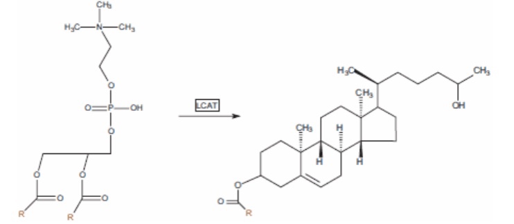
마그네슘은 Lecithin – Ch olesterol Acyltransferase(LCAT) 활성을 높인다.사이에서는 VLDL을 Serum으로 내보낸다. Lipoprotein Lipase로 TG의 양이 조금씩 감소하여 ILD 그리고 LDL이 된다. LDL 수치가 높으면 조직에 축적된다. (예를 들면 혈관내에 쌓이면 동맥경화)

한편, 레버는 HDL도 Serum으로 내보낸다. 조직에 과잉으로 쌓인 Cholesterol을 제거하는 “잔반처리조”라고 생각하면 된다. HDL은 Cholesterol을 모아 다시 간으로 데려오는 일을 한다. HDL이 제대로 일을 하려면 HDL 안에 있는 LCAT의 활성이 높아야 하는데 Mg가 LCAT의 보효소로 작용한다.

콜레스테롤은 – OH기가 있으므로 Amphiphilic이다. 그 때문에, HDL의 바깥쪽에 존재한다. 그런데 LCAT에 의해 Cholesterol Ester가 되면 Lipophilic이 되어 HDL 안으로 이동한다. HDL 바깥쪽에 자리가 나는 만큼 더 많은 콜레스테롤을 조직에서 제거한다.

그 때문에, 마그네슘이 부족하면 HDL수치가 낮아진다.- HMG – CoA – Reductase

마지막으로 마그네슘은 Statin과 같이 HMG-CoA-Reductase를 억제하는 효능을 가지고 있다. 1980년대 Lovastatin이 시장에 선보인 이래 많은 전문가들이 Statin의 효능에 매료되었다.Heart Attack 리스크↓Angina↓심혈관계 사고에 의한 사망률↓게다가 체내 염증의 레벨까지 내린다. 하지만 여러 Statin 부작용이 보고되면서 일각에서는 동맥경화가 있어 심혈관계 사고로 인한 사망 위험이 높은 사람에게만 사용해야 한다는 주장이 나오고 있다. 일부 극단적인 주장을 하는 사람도 있다.’Run From Your Statin Recommending Cardiologist’ Dr. Circus Statin의 가장 큰 문제점 중 하나를 보자. 일부만 효과가 있다고 하지만 심쿵해튼의 절반 정도는 동맥경화와 전혀 관계없는 사람에게 온다. Coronary Artery の Spasm に Heart Attack が 来る 。 이런 사람들에게 Statin은 효과가 없어 마그네슘 부족 문제를 해결해야 한다. 물론 마그네슘은 스타틴을 대체하는 효과도 있다. 즉시 같은 단백질을 타겟으로 한다.

최근 HMG CoA Reductase의 활성을 조절하는 복잡한 기구가 존재한다는 사실이 밝혀졌다. 그 하나가 Mg의존적인 기성품이다. 세포 내 마그네슘이 충분하면 HMG CoA Reductase Deactivator에 결합하여 HMG CoA Reductase를 억제한다. 그러므로 마그네슘이 부족하면 Cholesterol이 많이 만들어진다.-Lipoprotein 발현조절마그네슘과 Serum 지질상태와의 또 다른 연결고리를 알아보자.

마그네슘이 부족하면 L ipoprotein 발현 양상이 달라진다.

  • Apo-B 많이 만들어짐 ➡️LDL 콜레스테롤 증가 – Apo-A1 덜 만들어짐 ➡️HDL 콜레스테롤 감소
  • Apo B/A1 비율은 심혈관계 사고가 일어날 위험도를 가장 잘 나타내는 지표 중 하나이다. LDL/HDL 비율보다 정확하다. 한때 어떻게 하면 Apo B/A1 발현 비율을 조절할 수 있을까? 많이 연구한 적이 있었다. 그 때의 임상 데이터를 살펴보자.
  • In a double-blind, placebo-controlled study, 47 patients with ischemic heart disease and acute myocardial infarction were allocated to 3 months’treatment with peroral magnesium(15 mmol/d)or placebo. Before, during, and after treatment, blood samples were taken to determine serum concentrations of…pubmed.ncbi.nlm.nih.gov마그네슘 360mg/day를 먹으면 ApoB/A1의 비율이 13%감소한다. 반면 위약군에서는 2% 증가했다.
  • 그럼 실제로 마그네슘을 보충해 지질 상태를 개선할 수 있는지 임상 데이터를 살펴보자.
  • 아래 임상실험은 겉보기에는 건강해 보이는, 그러나 인슐린 저항성이 있고 마그네슘 혈중 농도가 낮은 사람들(1.78mg/dL 이하)을 대상으로 했다. 2개월간 MgCl 22,500 mg/day(마그네슘으로 300 mg) 혹은 Placebo를 복용시킨 이중맹검 실험이다. 결과는 너무 좋았다.

전에 Chapter에서 마그네슘이 혈당을 떨어뜨린다는 걸 배운 적이 있어 임상 데이터도 봐 왔지만, 여기서 하나 더 보자. Placebo Group에서는 1.9% 증가한 반면, 마그네슘을 복용하면 HOMA-IR가 43.5% 저하된다. HOMA-IR 수치 2.5가 인슐린 저항성의 기준이다. 이 정도면 인슐린 저항성이 거의 없어진 셈이다.

Oral Magnesium suppleme ntation improves insulin sensitivity in non – diabetic subjects with insulin resistance . A double – blind placebo – controlled randomized trial . Diabetes & Metabolism 2004 년마그네슘을 복용하면 TG , LDL , HDL 를 잘 개선시키고 HDL 수치를 늘려준다 . 効果 が どれ だけ いい のか 吟味 する 価値 が ある .

모든 대사성 질환에 마그네슘은 긍정적인 영향을 준다.강약사의 생각

  • 마그네슘 공부 자료는 정원용 약사가 정리한 내용을 참고했습니다.
  • (출처:blog.naver.com/prologue/PrologueList.nhn?blogId=pharmnutrition)

error: Content is protected !!